关于我们
产品中心
   English |
   简体中文 |
新闻中心
联系我们
SF
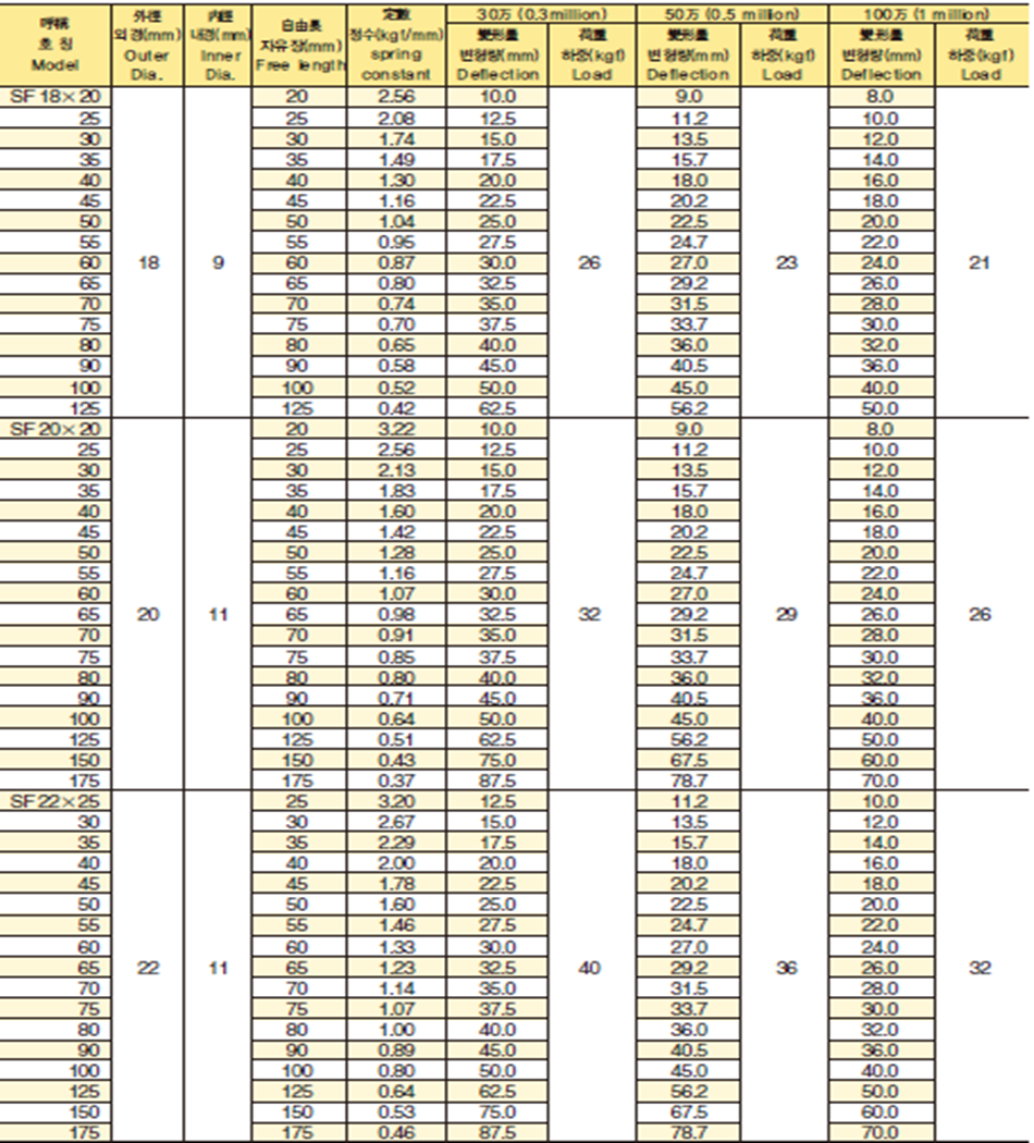
碟形弹簧 / Specification
Die spring
SF
SL
SM
SH
SB
联系我们 / Contact Us
地 址:
中国江苏昆山市新浦路66号
邮 箱:
yang.liu@dlrode.com
电 话:
0512-55083598
传 真:
0512-57862280
扫描二维码关注(炎宝弹簧)
汉中炎宝弹簧有限公司 备案号:
陕ICP备2020016780号-1
地址:陕西省汉中市洋县双庙路口 电话:+86.916-8226593 传真:+86-916-8226593 邮箱:yambol@yambol.cn